安徽吸收谱公司RapidXAFS 2M协助科研人员回答审稿人问题,文章被Advanced Materials接收
电化学氧还原反应(ORR)是燃料电池和金属空气电池等多种能源转换装置中重要的半反应。但由于ORR反应过程中涉及多步的质子耦合的过程,其效率较低,成为该类新能源技术的瓶颈之一。目前,大量工作集中在ORR催化剂的开发,各种新颖的制备方法层出不穷。需要注意的是,ORR反应在气-固-液三相交界面处才能有效的进行。ORR催化剂的开发,也需要注意界面化学及传质效率等方面的问题,最终实现ORR催化剂性能的大幅提升及在能源转换装置中的高效利用。锌空气电池具有理论能量密度高、绿色、安全等优点,应用前景广阔。ORR和氧析出反应(OER)对锌空气电池的性能具有决定性作用。目前,碱性电解液中Pt/C具有较好的ORR活性,IrO2和RuO2具有较好的OER活性。然而,过高的成本极大限制了其潜在应用。单原子催化剂具有高活性、高选择性、及高原子利用率等特点成为催化领域的热点。但同时具备高ORR和OER活性的单原子催化剂体系并不多见。因此,开发可与贵金属催化剂活性相媲美的非贵金属双功能单原子催化剂体系具有重要意义。
图1. Fe SAs/NC的制备及形貌表征
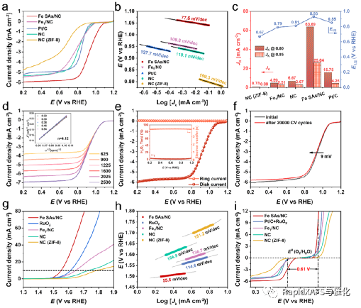
近日,东北石油大学李智君教授团队与西安交通大学何成副教授团队设计开发了一种具有Fe1N4O1独特配位结构的、负载于介孔氮掺杂碳载体的Fe单原子催化剂(Fe SAs/NC)。该催化剂在全pH范围内对ORR反应具有很好的催化活性,半波电位分别为0.93 V(碱性)、0.83 V(酸性)、0.75 V(中性)。另外,该催化剂在碱性条件OER反应中表现出320 mV的低过电位(10 mA cm-2条件下)。将该催化剂组装成锌空气电池,在功率密度、比容量、循环稳定性等方面远优于Pt/C+RuO2。理论计算表明,通过对Fe位点的局部配位环境进行调控,可有效优化Fe位点的电荷分布状态及电子金属-载体相互作用,进而影响Fe位点对含氧中间体的吸附及活化。本工作表明,调控活性位点局域电子结构在提高电催化剂对小分子活化方面具有重要意义。相关工作发表在Advanced Materials上,学生第一作者是姬思祺博士(东北石油大学)和徐唱硕士(西安交通大学)。
图2. Fe SAs/NC的原子级结构表征
图3. Fe SAs/NC的碱性ORR和OER性能
图4. Fe SAs/NC的锌空气电池性能
图5. RapidXAFS 2M补充的XAFS数据
(0.7%的催化剂)
本工作报道了一种简单、高效的合成方法制备具有优异催化活性的双功能氧电催化剂。该催化剂活性位点具有较高的暴露程度,有助于提高活性位点的利用率及电子/质子转移能力。通过对活性位点的局部电子环境进行调控,可有效优化活性位点的电荷局域分布状态及电子金属-载体相互作用,促进含氧中间体的吸附及活化,达到提高ORR和OER催化活性的目的。本工作在原子尺度上揭示了双功能氧电催化剂活性位点的电子局域结构与催化活性之间的关系,为合理设计低成本、长寿命、高性能的双功能单原子电催化剂体系提供思路。
Engineering the Electronic Structure of Single Atom Iron Sites with Boosted Oxygen Bifunctional Activity for Zinc-Air Batteries;Zhijun Li,* Siqi Ji,† Chang Xu,† Leipeng Leng, Hongxue Liu, J. Hugh Horton, Lei Du, Jincheng Gao, Cheng He,* Xiaoying Qi, Qian Xu, Junfa Zhu
Advanced Materials, 2022, https://doi.org/10.1002/adma.202209644
 
       简体中文
 简体中文 
          
         English
 English           
         
         
         
         
         
        




