最近发布
无溶剂合成新进展!FeNC-700高效催化生物质醇氨氧化合成腈类化合物
全文速览
近日,石河子大学柯振刚副教授联合华东理工大学李永生教授开发了一种高效的无溶剂催化体系,利用氮掺杂碳负载铁催化剂(FeNC-700)实现生物质醇向腈的高效转化。该研究关键性地采用了安徽吸收谱仪器设备有限公司提供的RapidXAFS 2M,对催化剂中Fe的局域电子结构和配位环境进行了精准解析,明确了Fe–Nₓ位点为催化活性中心,并揭示超氧自由基(•O₂⁻)在反应中的关键作用。该催化剂在无溶剂条件下表现出优异的催化活性和稳定性,可循环使用8次而无明显失活,且适用于多种芳香醇、杂环醇及生物质平台分子,为目标腈类化合物的绿色合成提供了新策略。该成果发表于国际知名期刊《ACS Sustainable Chemistry & Engineering》。
背景介绍
腈类化合物是药物、农药、香料和高分子材料中重要的结构单元,传统合成方法常使用剧毒氰化物,原子经济性差且环境污染严重。生物质醇作为可再生资源,其氨氧化反应生成腈类化合物具有原子经济性高、唯一副产物为水等优势,是绿色合成的重要方向。然而,现有催化体系多依赖贵金属催化剂和有机溶剂,不仅成本高昂,还存在溶剂挥发、分离困难及副反应等问题。开发无溶剂、非贵金属催化体系,实现高效、稳定的醇类氨氧化反应,已成为该领域的研究热点和难点。高精度的表征技术,如XAFS,为揭示催化剂活性中心结构与反应机制提供了关键支撑。
本文亮点
1 创新无溶剂催化体系实现生物质醇绿色高效转化
研究团队成功开发了FeNC-700催化的无溶剂氨氧化新体系,摒弃了传统反应中有毒、高成本的溶剂,反应条件温和,底物适应性广,为生物质平台分子转化为高值腈类化合物提供了绿色、经济的新路径。
2 先进表征技术精准解析Fe-Nx活性中心与反应机制
本研究依托安徽吸收谱仪器设备有限公司的RapidXAFS 2M,结合多种谱学手段,从原子尺度上证实了Fe-Nₓ是催化反应的活性中心,并揭示了超氧自由基(•O₂⁻)为关键活性氧物种,为理性设计高性能非贵金属催化剂提供了坚实的理论依据。
3 催化剂稳定性突出且具备实际应用潜力
FeNC-700催化剂在无溶剂条件下可循环使用8次以上而无明显失活,且成功完成了克级规模的放大实验,收率优异,展现了良好的工业应用潜力和稳定性,推动了绿色合成工艺从实验室向实际应用的转化。
图文解析

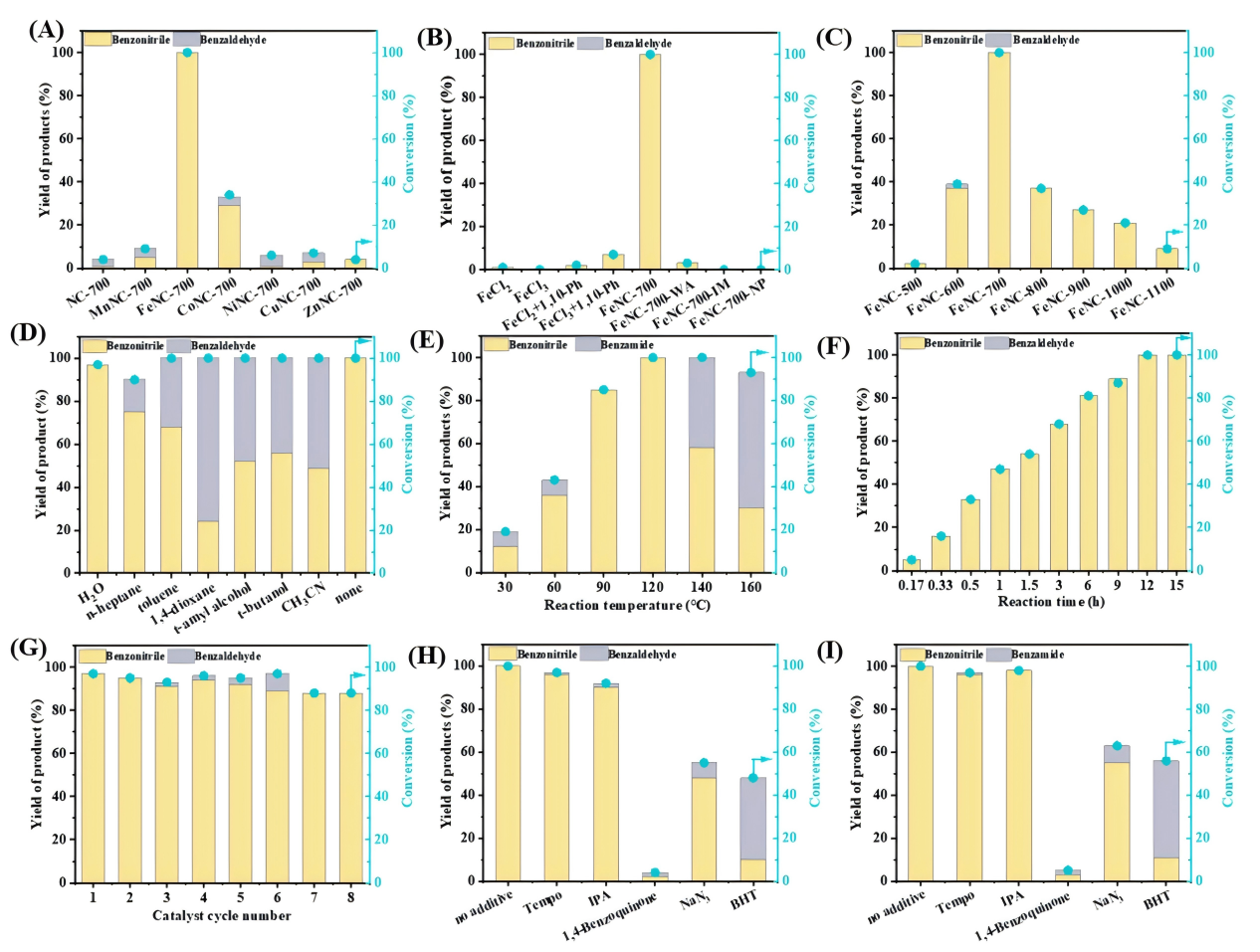
图1.反应条件优化与催化剂性能评估
通过对金属前体、热解温度、溶剂、反应温度和时间等关键参数的系统优化,研究团队确定了FeNC-700为最优催化剂,在无溶剂条件下可实现苯甲醇至苯甲腈的高效转化(收率达99%)。催化剂的循环使用性能显著,连续8次反应后仍保持高活性,且XRD谱图未见明显变化,表明其结构稳定性优异。自由基捕获实验进一步证实,超氧自由基(•O₂⁻)为反应的关键活性氧物种。
图2.FeNC-700催化剂的结构表征(关键数据由安徽吸收谱RapidXAFS 2M系统获取)
XRD谱图中仅观察到氮掺杂碳的宽衍射峰,未出现Fe物种晶相峰,表明Fe高度分散。XPS显示Fe以+2和+3价态共存,N物种包括吡啶氮、Fe–Nₓ、吡咯氮和石墨氮。通过安徽吸收谱仪器设备有限公司RapidXAFS 2M获得的Fe K边XAFS谱图表明,Fe的吸收边能量位于FePc与Fe₂O₃之间,与XPS结果一致;傅里叶变换EXAFS谱中仅在1.5 Å处出现Fe–N配位峰,未检测到Fe–Fe金属键合信号,证实Fe以Fe-Nx形式锚定在氮掺杂碳中,形成稳定的Fe–Nₓ活性中心。
图3. 底物拓展与催化普适性研究
在最优反应条件下,FeNC-700催化剂对多种生物质醇类均表现出良好的催化活性和选择性,包括带有给电子/吸电子基团的苯甲醇、呋喃甲醇、噻吩甲醇、吡啶甲醇、萘甲醇、肉桂醇和苯丙醇等,均可高效转化为相应腈类化合物,收率在70%–97%之间。该催化剂还实现了对1,4-苯二甲醇的区域选择性单氰化和双氰化控制,展现出良好的底物适应性和反应可控性。
图4. 反应机理研究与活性氧物种鉴定
结合自由基捕获实验、原位光谱表征和理论计算,研究团队提出了FeNC-700催化苯甲醇氨氧化反应的可能机理:O₂在Fe–Nₓ位点上活化生成•O₂⁻自由基,促进醇的氧化脱氢生成醛,进而与氨水缩合生成亚胺中间体,最终脱氢得到腈类产物。该机制与RapidXAFS 2M所观测到的Fe价态变化与配位结构高度吻合,共同构建了完整的催化反应图像。
全文速览

