硬X射线台式吸收精细结构谱仪(RapidXAFS)
1)最高光通量产品
2)优异的稳定性
3)<1%探测极限
核心优势
长久以来,X射线吸收精细结构谱 (XAFS)只能在各个同步辐射光源上测试。由于光源机时有限,无法满足众多科研工作者的测试需求。而近些年,XAFS数据已成为了顶级期刊的“标配”,致使越来越多课题组需要XAFS测试。秉持着让XAFS走进每个实验室的理念,中国科学院高能物理研究所和中国科学技术大学联合推出了全新的X射线吸收精细结构谱仪(RapidXAFS)。
产品优势:
| 多功能: | 提供科研级高质量XAFS图谱 |
| 高性能: | 1小时内完成1%含量样品测试 |
| 能量范围: | 4.5-25 keV |
| 高光通量: | >4,000,000 photons/sec@7~9 KeV |
| 测试元素: | 在实现3d,5d,稀土元素过渡金属 XAFS 测试 |
| 简单易用: | 只需半天培训即可上机操作 |
| 自主可控: | 90%部件自主可控,无政策风险 |
| 低维护成本: | 无需专人维护、操作、管理等 |
RapidXAFS具有如下特点:
最高光通量产品
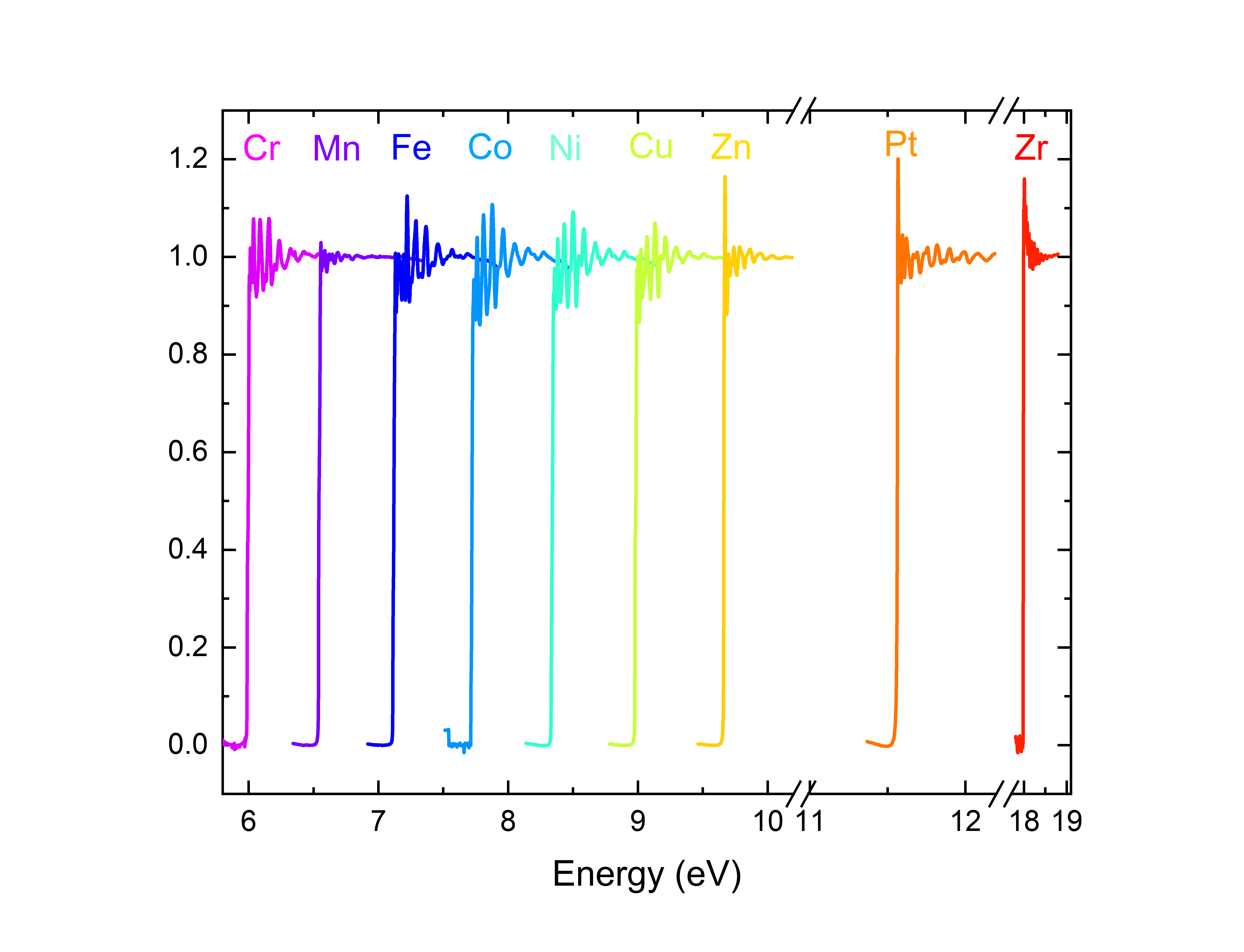
光子通量高于1000000光子/秒/eV-4000000光子/秒/eV,采谱效率数倍于其他产品;获得和同步辐射一样的数据质量
优异的稳定性
光源单色光强度稳定性优于0.1%,重复采集能量漂移 < 50 meV
<1%探测极限
高光通量、优异的光路优化和极好的光源稳定性确保所测元素含量>1%时依旧获得高质量EXAFS数据
双罗兰圆结构
突破性使用双罗兰圆结构,在单独一个X射线源情况下同时表征2个元素局域结构
仪器原理
X射线吸收精细结构 (X-ray absorption fine structure,XAFS),是一种研究材料局域原子或电子结构的有力工具,广泛应用于催化、能源、纳米等热门领域。
主要有以下优点:
不依赖于长程有序结构,可用于非晶态材料的研究;
不受其它元素干扰,可对同一材料中不同元素分别研究;
对样品无破坏,在大气环境下测试,可进行原位测试;
不受样品状态影响,可测量固体(晶体、粉末),液体(溶液、熔融态)和气体等;
能获得配位原子种类、配位数及原子间距等结构参数,原子间距精确度可达0.01A。
独特的双罗兰圆结构设计
![]() | ![]() |
可以媲美同步辐射分辨率
XES测试可以区分N、C、O
XAFS谱主要包括两部分:X射线吸收近边结构(XANES)和扩展X射线吸收精细结构(EXAFS)。EXAFS的能量范围大概在吸收边后50 eV到1000 eV,来源于X射线激发出来的内层光电子在周围原子与吸收原子之间的单电子单次散射效应的结果。XANES包含了吸收边前约10 eV至吸收边后约50 eV的范围,其主要来源于X射线激发出的内壳层光电子在周围原子与吸收原子之间的单电子多重散射效应。
测试数据
低浓度实际样品数据(0.5%)
可测元素:绿色部分可测K边,黄色部分可测L边
应用领域
XAFS 应用:
工业催化
储能材料
纳米材料
环境毒理
也质分析
重元素分析
扫码关注可解锁更多内容











