吸收谱的基本原理
吸收谱的基本原理
前言:大家好,上一期中带领大家认识了吸收谱的起源,今天将带领大家学习下吸收谱的基本物理原理。由于作者水平有限,有任何不足请大家积极提意见。
可以联系:rapidxafs@rapid-xas.com
按照惯例,祭出经典的Fe样品的K边XAFS谱(图1)。很明显,XANES部分震荡强烈,而EXAFS部分震荡和频率都相较下降很多。导致这种谱形特征差异的起源在于XAFS的散射模式。其基本物理过程如图2所示:图2a中红色小球表示中心吸收原子,其中的黑点表示芯能级的电子(芯能级表示3d/4d过渡金属的1s轨道或者5d过渡金属的2p轨道)。当样品被X射线照射的时候,入射的光子会将中心原子的芯能级的电子激发出去,从而留下一个电子空穴,如图2b中的白点所示。由于波粒二象性,激发出去的电子会以波动的形式向外扩散(如图2b中的黑色实线圆),出射的电子波会和周围的近邻原子相遇,从而被散射回来,散射回来的电子波与出射的电子波会在中心原子和近邻原子中间的某个位置相遇,从而发生干涉。如果干涉是相干的,那么对于X射线的吸收会增强,则在XAFS谱中表现为波峰;如果干涉是相消的,则表现为波谷。如果是直来直去的出射——散射,那么被称为单重散射(图2b),其震荡强度比较弱,这也是EXAFS的物理起源;如果是出射——散射——再散射,这个过程称为多重散射(图2c),是XANES的物理起源。以上便是XAFS的基本物理过程。接下来我们一起学习下EXAFS的基本公式。
图1. Fe样品的Fe 的K边XAFS谱
图2. XAFS产生机制
EXAFS拟合是目前化学、材料领域应用最多的解析方法,所以学习EXAFS的基本公式对于后续的拟合至关重要。首先,我们先列上EXAFS的基本公式:
是不是非常繁琐?没关系,今天的学习将会带领你们彻底瓦解它。上述公式也就是我们常见的k空间的公式,当然是没有加k权重的。可能有的初学者不太关注k空间,但k空间是EXAFS的根本,所有的后续处理都是基于k空间的变形。掌握了k空间,再去理解R空间将易如反掌。
在此之前,我们先温习一下电子的波长l、动量p等相关知识。公式1.1将电子的波长和动量之间的关系进行了描述:
其中h是普朗克常量。我们设中心原子和其中一个近邻原子的原子间距D,那么要使出射电子波和散射电子波在中间位置发生相干干涉,必须满足以下条件:
即出射电子和散射电子所走的距离为电子波波长的整数倍。此处可能会有疑问:为什么是2D呢?那是因为电子波从中心原子出发,然后到达近邻散射原子,又被散射回来,到半路和出射电子相遇,此时出射电子波和散射电子波的移动距离总和为2D。此时,我们假设EXAFS过程中,X射线激发中心原子所产生的电子波是平面波,平且散射时的界面是软边界(不会改变相位),那么吸收概率将可以由以下公式获得:
当满足公式1.2时,公式1.3中的吸收概率将最大。也就是说当发生干涉时,吸收概率最强,会在XAFS谱上表现为一个波峰。此时波长l在分母上,不好解析,我们引入波数的概念:
波数K可以理解为在2p这个长度上包含了多少个波长。将公式1.4带入到公式1.3中,则演变为:
读到这,大家可能对k还不是很熟悉,那么接下来的几个公式将带领大家彻底玩转k。首先,我们将公式1.4带入到公式1.1中,则变换为:
而动量p则可以和电子的动能T相联系:
其中me是指电子的质量。那么动能T是怎么来的呢?这时需要提及爱因斯坦提出的光电效应理论:电子被光子击发出去后,电子的动能等于光子的能量减去电子的结合能,即
其中E便是X射线光子的能量,E0为电子的结合能,也可以理解为吸收边的能量。将公式1.6,1.7,1.8结合以下,便得到了:
这也是著名的E➝k转换公式。
我们再回到公式1.5,我们将继续丰富这个公式。大家可能注意到了,此时的吸收概率c与其后的电子波干涉公式不是“=”而是正比,这是因为我们没有考虑中心原子周围近邻散射原子的散射能力。每个原子的散射能力都是不同,其受原子序数、原子大小、电子数等影响。因此,我们需要将散射因子f(k)代入,而f(k)也是原子种类的特征,我们也是通过获得f(k)而得到原子类型:
是不是很惊喜?EXAFS公式初具雏形!当然,以上的所有推导都是基于中心原子周围只有一个散射原子的情况,需要考虑有多个不同散射原子的情况存在,如一个氯铂酸分子中,Pt周围既有Cl又有O,所以,公式演变为:
也就是每个散射原子与中心原子的散射概率加和。当然,中心原子周围可能存在相同距离、相同类型的散射原子,如氧化铁中,Fe的周围均匀排布着一模一样的6个O原子,此时我们没有必要将这6个O原子的散射逐个相加,只需要乘上原子数目N:
通过公式1.12我们可以得知,拟合EXAFS公式可以获得配位数。在最开始的时候,我们假设了近邻原子的边界是软边界,而实际情况中不存在软边界,也就是相位一定会发生改变,因此我们将上述公式加上一个相位因子:
此外,我们还假设了出射的电子波是平面波,然而原子是空间立体的,出射的电子波必然是向四面八方传递,即出射的电子波是球面波:
我们已经越来越接近EXAFS的公式全貌了!我们还需要考虑线站测试过程中单色器的谐波、电离室的误差等对XAFS造成的峰强的衰减,所以需要在公式的最开始代入振幅衰减因子:
公式越来越繁杂了,但是这样一步一步推导下来,是不是思路很清晰?
我们需要提出平均自由程l(k)的概念,在这里平均自由程是指一个电子击发出去之后,没有发生任何反应所移动的平均距离。我们知道,电子被光子击发后,会有各种各样的反应,如电子方向改变、电子被非弹性散射、外层电子填补了内层电子空穴等,因此,平均自由程可以理解为一个电子的存活寿命(长度),当长度越长,则对公式1.15的衰减越小:
在这里,我们用一个e指数来描述,幂为-2D/l,可以理解为在一定长度的自由程下,对吸收概率的衰减作用。试想,当平均自由程无限大时,这个常数指数也就趋近于1,对吸收概率无影响。
最后需要考虑的参数是热无序。即使固体材料,原子也不是固定不动的,总会在一定的、有限的范围内振动,那么这个振动所导致的材料的无序就是热无序。热无序s2也被称为均方径向位移,也就是s2=(r-r0)2,其中r0是平均的理论键长。此时大家就可以明白了:无序度其实是键长的无序,键长的无序从而导致吸收概率的衰减:
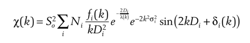
成功了!这就是EXAFS最全面的公式,也是目前数据拟合所依托的最根本依据。从这个公式里还可以获得很多隐藏信息,我们后续会慢慢学习。



















