能量扫描步长的选取
能量扫描步长的选取
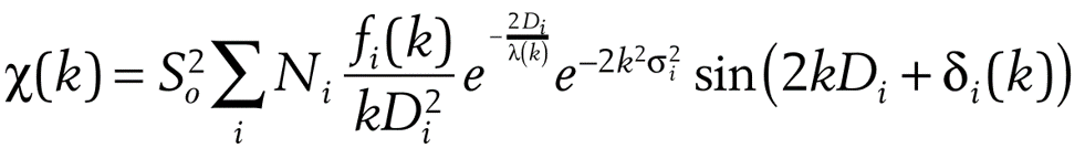
首先,我们还是放上EXAFS的基本公式:
从这个公式中,我们可以很清楚地得到:吸收概率x(k)是电子波数k的函数,而公式右侧中的许多参数也都是k的函数,如散射因子、平均自由程、相移等。因此我们今天首先学习下k与能量E之间的关系。
我们还是用下面这张老生常谈的XAFS谱来阐述。
这条经典的Fe的K边吸收谱代表了大多数XAFS图谱,即吸收系数与光子能量之间的关系,因此深入认识由能量E到波数k之间的转换过程至关重要,而对这个过程的了解也会带来一些意想不到的收获!我们重温上一期的E→k转换公式:
在这个公式中,波数k是与电子的动能直接相关的。这个公式的来源我们在这不再赘述。
在公式1.1中,普朗克常数ħ、电子质量me都是常数,将这些常数代入进去,可以得到E与k之间的近似关系:
因此这个简化后的公式将会快速计算两者之间的关系。我们举个栗子:假设在XAFS测试中,能量扫到了吸收边后能量900eV,则E-E0=800、因此,k就可以取到15;扫到吸收边后能量400 eV,k可以取到10。哈哈,是不是很方便呐?
我们再举个栗子,这次是实例,我们以Fe箔的XAFS谱为例,让大家加深一下k的快速计算的印象。如下图所示,我们用红线选取数值,在左图的E空间中,我们将数值选在了7600 eV处,此时k空间自动定位在了k=11.3附近,已知Fe的吸收边能量是7112 eV,那么大家可以代入到简化公式验算一下,是不是很神奇?
请大家回忆一下,在线站测试的时候怎么确定数据的质量好坏?是不是导入到Athena软件中,选择k空间看看曲线是不是能够光滑的取到>10甚至>12的位置?是的,这也是一个最直接最通用的方法。那么从这大家也应该能感知到,EXAFS的处理其实是基于k空间进行,k空间的分辨率将直接决定数据后续傅里叶变换的质量。在数据测试的时候,我们其实面对的是能量空间,那么能量空间采集的步长该如何选择呢?
很简单,我们只需要定好Dk即k的每一步变化为0.5(或者别的数值)即可!下面我们开启数学狂躁症模式:
其中△E是指的能量空间的步长,我们将△k=0.5代入,就可以获得在每一个边后能量点应该选取多大的步长。此处不用担心每种元素的能量不一样的问题,因为根号里面是E-E0,是一个相对值,还是一个整体,可以理解为边后能量。
假设,边后50eV,那么E-E0=50,则△E=0.88 eV,即此时的步长应为0.88eV;边后400eV,步长则为2.5eV。是不是很清晰了,是否解决了大家心中的某些困惑:为什么线站上给定的扫描参数步长会随着能量变化呢?上述就是这一参数的数学起源!







